Một trong những cách thức phổ biến trong việc đầu tư đó là sử dụng đòn bẩy tài chính để tạo ra nguồn vốn và sử dụng nó để đầu tư thay vì sử dụng vốn tự có của bản thân. Tuy nhiên thì không phải ai cũng có thể nắm được cách sử dụng một cách hiệu quả. Do vậy đòn bẩy tài chính là gì? Cách sử dụng đòn bẩy tài chính thế nào thì mời các bạn cùng Hoconline24h.com tìm hiểu kỹ hơn nhé!
Chỉ số đòn bẩy tài chính trong chứng khoán

Chỉ số đòn bẩy tài chính trong chứng khoán
Đòn bẩy tài chính là gì?
Đòn bẩy tài chính là công cụ có lợi ích trong việc cung cấp khả năng đầu tư hay kiểm soát các quỹ lớn hơn so với các quỹ hiện tại mà nhà đầu tư đang nắm giữ. Trên thực tế các khoản vay là hình thức đòn bẩy phổ biến nhất, giúp bạn có thể tài trợ cho một khoản đầu tư lớn hơn nhiều và chỉ chiếm 10% hoặc 20% vốn tự có. Hoạt động của cách thức này có sự khác biệt trên thị trường tài chính nhưng kết quả thì rất giống nhau. Việc này sẽ cho phép bạn thu được lợi nhuận tiềm năng từ toàn bộ các giao dịch chỉ với một phần nhỏ số tiền của bản thân.
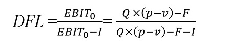
Công thức tính đòn bẩy tài chính là gì?
Thông thường để tính đòn bầy tài chính bạn chỉ cần áp dụng theo phương pháp dưới đây:

Trong đó:
– EBIT được biết đến là lợi nhuận trước thuế và lãi vay
– Còn EPS chính là lợi nhuận của vốn chủ sở hữu
Sau khi có thêm khoản lãi vay phải trả thì sẽ có thêm một công thức mới đó là:

Cụ thể:
– F: chính là chi phí cố định
– v: chi phí biến đổi trên mỗi đơn vị sản phẩm
– p: giá bán
– Q: hiểu là số lượng sản phẩm
– I: đây là khoản lãi vay phải trả
Ví dụ về đòn bẩy tài chính
Một doanh nghiệp A kinh doanh loại sản phẩm X với tổng số vốn đầu tư là 100.000.000 VNĐ, trong đó có 40.000.000 VNĐ là đi vay với lãi suất 10%/năm. Dự kiến trong năm 2022, doanh nghiệp này có khả năng tiêu thụ được 10.000 sản phẩm, giá trị của mỗi sản phẩm là 25.000 VNĐ. Mỗi sản phẩm có chi phí biến đổi 20.000 VNĐ, tổng chi phí kinh doanh cố định là 30.000.000 VNĐ. Hãy xác định mức độ ảnh hưởng của đòn bẩy tài chính đối với doanh nghiệp A này?
Lời giải:
I = 40.000.000 x 10% = 4.000.000 VNĐ
F = 30.000.000 VNĐ
v = 20.000 VNĐ
p = 25.000 VNĐ
Q = 10.000 sản phẩm
Từ công thức trên, ta tính mức độ tác động của đòn bẩy tài chính lên doanh nghiệp là:
EBIT = 10.000 x (25.000 – 20.000) – 30.000.000 = 20.000.000 VNĐ
DFL = 1.25
Tổng kết: Với EBIT là 20.000.000 VNĐ (tức mức lợi nhuận trước thuế và lãi vay), khi doanh nghiệp A tăng hoặc giảm 1% số lợi nhuận này thì tỷ suất lợi nhuận trên vốn chủ sở hữu cũng sẽ tăng hoặc giảm 1,25%
Lợi ích sử dụng đòn bẩy tài chính

Lợi ích sử dụng đòn bẩy tài chính
Ngoài việc nó tiềm ẩn rất nhiều rủi ro bên cạnh lợi nhuận thu về, tuy nhiên thì đòn bẩy tài chính vẫn là công cụ ưa thích của các doanh nghiệp. Không chỉ các doanh nghiệp mà ngay cả các nhà đầu tư cũng sử dụng đòn bẩy như một công cụ hữu hiệu nhằm gia tăng lợi nhuận cho mình. Đặc biệt trong lĩnh vực đầu tư bất động sản, sử dụng đòn bẩy tài chính có ảnh hưởng nhất định trong các chiến lược kinh doanh của công ty, có thể kể đến đó là:
– Bù đắp được sự thiếu hụt vốn của doanh nghiệp để duy trì hoạt động kinh doanh, đồng thời có thể gia tăng tỷ suất lợi nhuận trong tương lai
– Hơn nữa đây còn là một công cụ nhằm thúc đẩy mức lợi nhuận sau thuế của chủ doanh nghiệp từ nguồn vốn chủ sở hữu. Đồng thời cũng là công cụ giúp kìm hãm sự gia tăng mức lợi nhuận này
– Nó cũng chính là “lá chắn thuế” của doanh nghiệp. Bởi vì các khoản vay cũng như phần tiền lãi thường được tính vào chi phí của doanh nghiệp, tất nhiên nó sẽ được khấu trừ vào phần thu nhập phải chịu thuế khi thực hiện quyết toán. Khi đó doanh nghiệp sẽ phải nộp ít thuế hơn mà vẫn tăng khả năng sinh lợi nhuận.
– Không chỉ đối với các doanh nghiệp mà đòn bẩy tài chính cũng mang lại ý nghĩa vô cùng quan trọng đối với các trader khi đầu tư vào lĩnh vực đầu tư. Đây là công cụ giúp các nhà đầu tư nhân số vốn lên gấp nhiều lần, nhằm có thể thu về những khoản lợi nhuận lớn hơn.
Cách sử dụng đòn bẩy tài chính
Việc sử dụng đòn bẩy tài chính mang đến các nguồn lợi nhuận cho doanh nghiệp cũng như các nhà đầu tư. Tuy nhiên nó vẫn tiềm ẩn những rủi ro lớn. Do đó để sử dụng đòn bẩy tài chính hiệu quả thì mọi người cần chú ý những đặc điểm sau đây:
– Khi các nhà đầu tư thiếu định hướng thì rất dễ dẫn đến tình trạng bị khủng hoảng hoặc nếu nhà đầu tư tính toán sai sẽ khiến việc mua bán trở nên khó khăn làm tăng khả năng bị ứ đọng vốn, thậm chí nếu không kịp cải thiện có thể dẫn tới tình trạng mất trắng
– Việc lựa chọn nguồn vốn cũng phải hết sức thận trọng bởi vì nếu vay vốn với lãi suất cao thì lợi nhuận sẽ giảm, đồng thời nếu có gặp rủi ro thì việc lãi suất cao sẽ khiến cho nhà đầu tư bị điêu đứng
– Hiện nay các nhà đầu tư thường sử dụng đòn bẩy tài chính như là một “liều thuốc kích thích” với kỳ vọng rằng tỷ suất sinh lời trên tài sản sẽ cao hơn lãi suất vay nợ, có thể đem lại nhiều lợi cho nhà đầu tư hoặc cũng có thể đem lại rủi ro. Chính vì vậy các nhà đầu tư nên cân nhắc kỹ trước khi sử dụng đòn bẩy tài chính này để đầu tư sinh lời
Ưu nhược điểm của đòn bẩy tài chính là gì?

Ưu nhược điểm của đòn bẩy tài chính là gì?
Ưu điểm
Khả năng tăng vốn cao
Đòn bẩy tài chính sẽ làm tăng vốn khả dụng để giao dịch trên các thị trường khác nhau. Ví dụ, bạn kiểm soát hiệu quả là 60.000 USD với đòn bẩy tỷ lệ 30:1, trong khi đó bạn chỉ có 2.000 USD. Điều này có nghĩa là bạn có thể phân bổ số tiền lớn hơn ở các vị trí khác nhau trong danh mục đầu tư của mình. Nhưng nên nhớ rằng điều này cũng sẽ tiềm ẩn rủi ro lớn hơn.
“Khoản vay” không tính lãi
Đòn bẩy tài chính được so sánh với một khoản vay được cấp bởi một nhà môi giới để nhận lấy cam kết về một khoản ký quỹ cho phép chiếm vị thế lớn hơn trên thị trường. Nhưng “khoản vay” này không đòi hỏi bất kỳ khoản nợ nào dưới hình thức lãi suất hay hoa hồng mà nó sẽ được sử dụng theo bất kỳ cách nào khác trong giao dịch.
Phương pháp dành cho độ biến động thấp
Khoảng thời gian ít biến động có thể làm cho các nhà giao dịch mệt mỏi do những thay đổi nhỏ về giá. Tuy nhiên, dựa vào giao dịch đòn bẩy, mà các nhà giao dịch có thể tạo ra nguồn lợi nhuận lớn hơn ngay cả trong thời gian biến động thấp của thị trường. Đối với trường hợp này thì ngay cả một sự thay đổi nhỏ về giá hoặc tỷ giá hối đoái cũng có thể làm cho tài khoản của nhà giao dịch dịch chuyển theo.
Nhược điểm
Tăng tổn thất
Đòn bẩy tài chính có thể yêu cầu các khoản chi tiêu về vốn tối thiểu nhưng do kết quả giao dịch dựa trên tổng quy mô của vị thế mà bạn kiểm soát, nên tổn thất có thể là khá lớn.
Margin call
Nếu các khoản lỗ vượt quá số tiền ký quỹ mà bạn đã sử dụng, lệnh gọi bổ sung ký quỹ sẽ xuất hiện. Vì đòn bẩy làm tăng khả năng thua lỗ, nên rủi ro của Margin Call sẽ luôn tồn tại và trong trường hợp không có tiền mới sẵn có trong tài khoản, các vị thế sẽ tự động bị đóng lại tại mức thua lỗ.
Tổng kết
Hoconline24h.com hy vọng rằng những chia sẻ trên về đòn bẩy tài chính là gì, đặc điểm, lợi ích và cách sử dụng nó trong đầu tư sẽ giúp các doanh nghiệp và nhà đầu tư có những kiến thức cần thiết để sử dụng vốn một cách hiệu quả. Nếu biết sử dụng đòn bẩy tài chính một cách hợp lý thì đây cũng là cách thức tạo ra nguồn vốn đầu tư phù hợp và chính xác nhất.
Tags:
Chứng khoán

