Công thức đòn bẩy tài chính là gì? Cách tính chính xác nhất

1649232166 tong quan ve don bay tai chinh.jpg

Đòn bẩy tài chính là công cụ mà chắc hẳn bạn đã được nghe thấy rất nhiều trong đầu tư. Đây là giải pháp tuyệt vời giúp tăng vốn và khả năng đầu tư đạt lợi nhuận cao cho các doanh nghiệp và nhà đầu tư. Hôm nay Hoconline24h.com sẽ giải đáp cho bạn công thức đòn bẩy tài chính là gì và lợi ích cũng như cách tính nó chính xác như thế nào?

Tổng quan về đòn bẩy tài chính

tong-quan-ve-don-bay-tai-chinh

Tổng quan về đòn bẩy tài chính

Đòn bẩy tài chính là gì?

Đòn bẩy tài chính được hiểu là một công cụ giúp bạn có thể thực hiện giao dịch với số tiền lớn hơn so với số tiền gốc. Hoặc hiểu rằng các nhà đầu tư sẽ sử dụng nguồn vốn vay được để đầu tư thay vì sử dụng hoàn toàn vốn tự có của mình nhằm thu về những khoản lợi nhuận lớn hơn trong tương lai.

Ngoài ra đòn bẩy tài chính còn có vai trò thúc đẩy lợi nhuận sau thuế dựa trên một đồng của vốn chủ sở hữu, đồng thời là công cụ kìm hãm sự gia tăng này. Cho đến nay thì đây vẫn là công cụ được các doanh nghiệp và nhà đầu tư ưa chuộng sử dụng nhất.

Công thức đòn bẩy tài chính là gì?

Công thức tính đòn bẩy tài chính đó là: Đòn bẩy = Tỷ lệ nợ / vốn chủ sở hữu. Điều này có nghĩa là nếu doanh nghiệp sử dụng mức đòn bẩy càng cao thì tỷ lệ nợ cũng sẽ càng lớn.

Công thức đòn bẩy tài chính

 

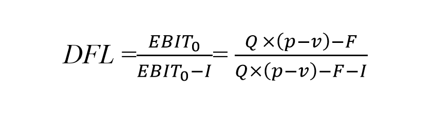
Đòn bẩy tài chính (Financial Leverage - FL) và công thức DFL

Đối với trường hợp kí hiệu “I” là lãi vay phải trả sau một vài biến đổi, công thức được xác định như trên.

Trong đó:

– F: chính là chi phí cố định (không bao gồm lãi vay) 

– v: là chi phí biến đổi trên một đơn vị sản phẩm

– p: giá bán 

– Q: số lượng sản phẩm

– I: lãi vay phải trả

Đòn bẩy tài chính (Financial Leverage - FL) và công thức DFL

Trong đó:

– EBIT được hiểu là lợi nhuận trước thuế và lãi vay

– EPS – lợi nhuận của vốn chủ sở hữu

Ví dụ về đòn bẩy tài chính

– Một doanh nghiệp A bỏ ra 5 triệu đô la để mua một phần bất động sản để xây dựng một nhà máy sản xuất mới. Chi phí của khu đất này là 5 triệu đô la. Vì công ty A không sử dụng tiền vay để mua đất nên đây không phải là đòn bẩy tài chính

– Với ví dụ trên, nếu công ty sử dụng 2,5 triệu đô la tiền riêng của mình và 2,5 triệu đô la tiền mặt đi vay để mua cùng một bất động sản, thì công ty A đang sử dụng đòn bẩy tài chính

– Còn nếu doanh nghiệp A vay toàn bộ số tiền là 5 triệu đô la để mua tài sản, thì doanh nghiệp A này được coi là có đòn bẩy tài chính cao

Ý nghĩa của đòn bẩy tài chính

Ưu điểm

– Tiếp cận nguồn vốn hữu hiệu: Việc sử dụng đòn bẩy tài chính có thể tăng cường lượng vốn tài chính mà một công ty cần. Đồng thời đòn bẩy tài chính cho phép các công ty tạo ra tỷ suất lợi nhuận đầu tư ở mức cao hơn, nếu không sử dụng đòn bẩy

– Tốt cho các công ty liên doanh mở rộng kinh doanh: Sử dụng đúng đòn bẩy là một giải pháp hiệu quả để giải quyết thành công mục tiêu tăng trưởng kinh doanh cụ thể và ngắn hạn, như tham gia vào việc mua lại công ty khác hoặc trả cổ tức một lần cho các cổ đông công ty

Nhược điểm

– Rủi ro có thể tăng cao: Với đòn bẩy tài chính, các công ty có thể sử dụng nợ như một công cụ phục vụ cho hoạt động kinh doanh và tạo ra doanh thu cho họ, giúp công ty phát triển nhanh hơn. Nhưng nếu một công ty phải gánh quá nhiều nợ, thì rủi ro mất mát tài chính cũng tăng theo

– Làm tăng chi phí cho doanh nghiệp: Việc sử dụng các khoản vay có đòn bẩy tài chính và các công cụ tài trợ bằng nợ như trái phiếu lợi suất cao để phát triển kinh doanh, công ty sẽ phải trả lãi cho các nhà đầu tư và người cho vay. Do đó có thể dẫn đến chi phí cao hơn khiến công ty chịu nhiều rủi ro tài chính cao hơn. Điều này đặc biệt lưu ý trong thời buổi kinh tế khó khăn, khi một công ty không thể tạo ra đủ doanh thu bán hàng để trang trải cho các chi phí lãi suất cao.

Vì sao nên sử dụng đòn bẩy tài chính?

vi-sao-nen-su-dung-don-bay-tai-chinh

Vì sao nên sử dụng đòn bẩy tài chính

– Để duy trì hoạt động kinh doanh bằng cách sử dụng nợ vay để bù đắp sự thiếu hụt vốn cũng như mong muốn gia tăng tỷ suất lợi nhuận dựa vào thu nhập trên một cổ phần hoặc trên vốn chủ sở hữu

– Nhiều nhà đầu tư sử dụng đòn bẩy tài chính một cách thành công trong lĩnh vực kinh doanh bất động sản và đem về một khoản lợi nhuận đáng kể

Đòn bẩy tài chính cũng giống như một loại công cụ dùng để thúc đẩy lợi nhuận sau thuế từ vốn của chủ sở hữu.Ngoài ra đòn bẩy tài chính cũng là công cụ để kìm hãm sự gia tăng đó. 

Do đó việc lựa chọn cơ cấu tài chính phù hợp bằng cách áp dụng đòn bẩy tài chính là công cụ được nhiều nhà quản lý ưa dùng để gia tăng lợi nhuận hiện nay.

Đặc biệt doanh nghiệp có đòn bẩy tài chính càng cao thì mức độ rủi ro trong hoạt động tài chính cũng càng cao, kéo theo cơ hội gia tăng tỷ suất lợi nhuận vốn chủ sở hữu (ROE) cũng sẽ lớn hơn.

Top 4 đòn bẩy tài chính phổ biến nhất

Sử dụng nguồn tiền từ người khác 

– Hình thức đi vay thông thường: Vay từ các ngân hàng hoặc công ty tài chính để thực hiện việc đầu tư và trả lãi khi tới kỳ hạn. Nhưng doanh nghiệp càng nợ nhiều thì càng có nguy cơ cao bị phá sản và kiệt quệ tài chính

– Công ty cổ phần huy động nguồn vốn từ các cổ đông: Bạn là chủ doanh nghiệp nhưng chỉ có một phần vốn trong tổng số vốn điều lệ của công ty. Nhưng bạn vẫn có quyền quản lý và sử dụng toàn bộ số tiền vốn huy động được vào các dự án đầu tư của công ty

Tận dụng ý tưởng sáng tạo của người khác

Nếu biết cách sử dụng ý tưởng của người khác hoặc lắng nghe những quan điểm từ nhiều phía sẽ tạo nên một kế hoạch đầu tư hiệu quả cao. Khi đó bạn cũng có thể nhận được những ý tưởng sáng tạo, đẩy mạnh sự tăng trưởng của các dự án. Hãy kết nối với những người có cùng chí hướng với bạn và khai thác ý tưởng kiếm tiền từ họ.

Áp dụng kinh nghiệm của những người đi trước

Một nhà đầu tư thông minh cần biết học hỏi và kết hợp kinh nghiệm của những nhà đầu tư chuyên nghiệp khác với kinh nghiệm của bản thân để rút ra được nguyên tắc và bí quyết đầu tư thành công. Sử dụng đòn bẩy nhằm tối đa hóa những kết quả đầu tư của bạn trong khoảng thời gian tối thiểu. 

Tận dụng thời gian của người khác

Loại đòn bẩy tiếp theo đó là sử dụng thời gian của người khác để tạo ra nhiều tài sản hơn cho bản thân. Ví dụ như trong doanh nghiệp, bạn sử dụng thời gian của đội ngũ nhân sự nhằm tạo ra nhiều tài sản một cách nhanh chóng và có giá trị hơn.

Thị trường nào có thể sử dụng đòn bẩy tài chính?

thi-truong-nao-co-the-su-dung-don-bay-tai-chinh

Thị trường nào có thể sử dụng đòn bẩy tài chính

– Thị trường chỉ số: Thị trường chỉ số là đại diện bằng số về hiệu suất của một nhóm tài sản đến từ các sàn giao dịch bất kỳ

– Thị trường Forex: Đây là thị trường tài chính có thể nói là được giao dịch nhiều nhất trên thế giới. Thị trường ngoại hối cho phép việc trao đổi mua và bán các loại tiền tệ để giúp các nhà đầu tư kiếm thêm lợi nhuận tốt hơn

– Thị trường tiền điện tử: Tiền điện tử là một trong những thị trường giao dịch các đồng tiền giống với Forex nhưng chỉ khác ở điểm chúng đều là những đồng tiền mã hóa.

– Hàng hóa: Giao dịch đòn bẩy trong hàng hóa sẽ cho phép bạn tiếp xúc linh hoạt với các loại hàng hóa trên thị trường thế giới như: vàng, bạc, dầu…

Một vài lưu ý khi sử dụng đòn bẩy tài chính

Như đã phân tích công thức đòn bẩy tài chính là gì cũng như ý nghĩa của nó thì để có thể sử dụng hiệu quả, bạn cần nắm được những điểm sau:

– Nếu chủ đầu tư thiếu định hướng sẽ dễ dẫn tới những tính toán sai lệch, khủng hoảng là điều có thể xảy ra, việc mua bán trở nên khó khăn, kéo theo tình trạng ngưng đọng vốn, mất nhiều tiền

– Cần thận trọng trong việc lựa chọn nguồn vốn vì nếu vay vốn với lãi suất cao sẽ khiến nhà đầu tư gặp nhiều khó khăn trong việc chi trả nợ. Và nên lựa chọn các ngân hàng đang có nhiều chương trình ưu đãi về lãi suất

– Cuối cùng phải cân nhắc kỹ lưỡng trước khi sử dụng đòn bẩy tài chính để đầu tư sinh lời vì nó có thể đem lại lợi nhuận nhưng cũng có thể đem lại rủi ro không mong muốn

Tổng kết

Thông qua công thức đòn bẩy tài chính là gì cũng như tìm hiểu về ưu nhược điểm của nó trong đầu tư mong rằng sẽ giúp mọi người có cái nhìn tổng quan về đòn bẩy tài chính. Hoconline24h.com cũng mong rằng các bạn sẽ vận dụng kiến thức này vào thực tế để việc đầu tư trở nên dễ dàng và hiệu quả hơn.

Tags:
Chứng khoán